¿Teorema de Rouché-Frobenius?
Es posible que sea difícil resolver sistemas de ecuaciones lineales. La eliminación gaussiana o otras técnicas, como la representación matricial, suelen ser necesarias para lograrlo. Sin embargo, hay un teorema que es bastante útil para saber cuántas soluciones tienen estos sistemas antes de resolverlos. Este es el teorema de Rouché-Frobenius, o teorema de Rouché-Capelli.
El teorema establece que para que un sistema de ecuaciones lineales sea compatible es condición necesaria y suficiente que la matriz formada por los coeficientes y la matriz ampliada por los términos independientes posean el mismo rango.
Para discutir un sistema de ecuaciones, utilizamos el teorema, con ello podemos determinar si es compatible o incompatible. Además, al identificar su compatibilidad, el teorema de Rouché-Frobenius nos permite distinguir entre un sistema compatible determinado y un sistema compatible indeterminado.
De acuerdo con eso, a partir del rango de la matriz de coeficientes podemos decir que:
- Si el rango de la matriz ampliada es mayor que el rango de la matriz de coeficientes, el sistema es incompatible.
- Si el rango de la matriz de coeficientes A es igual al número de incógnitas n, entonces el sistema es compatible determinado y tiene una solución única.
- Si el rango de la matriz de coeficientes A es menor que el número de incógnitas n, entonces el sistema es compatible indeterminado y tiene infinitas soluciones.
Por si necesitas recodar la definición y como se calcula el rango de una matriz: Rango de una Matriz
Teorema de Rouché-Frobenius - Puntos clave
- Un sistema de ecuaciones tiene una solución, si y solo si, el rango de su matriz de coeficientes es igual al rango de su matriz ampliada.
- La matriz de coeficientes del sistema es la matriz compuesta solo por los números que multiplican a las variables de nuestro sistema de ecuaciones.
- La matriz ampliada es la matriz compuesta por la matriz de coeficientes y el vector de resultados.
Ahora ya que vimos como se presenta el teorema veremos un ejemplo:
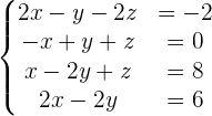
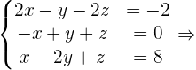
Consideremos el siguiente sistema de ecuaciones:


Tiene rango mayor a 1, pues

Tiene rango mayor a 3, porque

Formamos la matriz ampliada y calculamos su rango.

Como
Aplicando el teorema de Rouché-Frobenius, el sistema es compatible determinado, pues
Como el sistema tiene solución única, podemos resolverlo ya sea por la regla de Cramer o por el método de Gauss. Ya que el cuarto renglón de la matriz
es una combinación lineal de los otros tres, tomamos el subsistema de
y su matriz correspondiente.
es una combinación lineal de los otros tres, tomamos el subsistema de
y su matriz correspondiente.

En este caso, resolveremos el sistema por la regla de Cramer.



y 
Ahora te dejaremos un vídeo que explica el teorema: Teorema de Rouche-Frobenius
También antes de terminar, te dejaremos otro vídeo con un ejemplo para terminar de aclarar todas tus dudas: Ejemplo Teorema de Rouche
Comentarios
Publicar un comentario